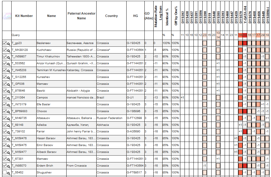
Фамилия: Бесленеев
Субэтнос: Кабардинец (Моздокский)
Населенный пункт: Серноводское, хут. Авалов
Гаплогруппа: G2a2-L1264 >> G-Y93425
История
Протестированный принадлежит к моздокским кабардинцем из хутора Авалов (Инал-хажи) в составе села Серноводское. Точного предания о происхождении рода нет, но есть предположение то, что он идет от двух братьев бежавших в Моздок в 18 в.
Уникальная Y-хромосома
Y-хромосома уникальна тем, что передается строго по отцовской линии, что позволяет проследить историю мужской линии на протяжении многих поколений.
Глубокие (полногеномные) тесты позволяют получить наиболее подробную информацию о генетической линии. Если вы хотите получить максимум информации, рекомендуется сразу делать глубокий тест.
Исследование 37 и более маркеров позволяет провести сравнение с результатами тестов других участников и предсказать более глубокую линию происхождения. Эти тесты заметно дешевле, но и информацию дают намного меньше.
Важно отметить, что цель данного исследования не в определении национальности. Однако его результаты могут показать, насколько выявленные генетические линии характерны для конкретных регионов и, возможно, этносов.
В ходе анализа была определена гаплогруппа и более глубокий субклад. Эта информация помогает понять, к какой древней линии человечества принадлежит исследуемый образец.
Далее в публикации вы найдете подробную информацию о выявленной гаплогруппе, ее распространении, а также о возможных генетических связях с другими протестированными участниками проекта.
Для тех, кто хочет глубже разобраться в основах ДНК-генеалогии, на нашем сайте есть дополнительные образовательные материалы. Основные ссылки на эти материалы вы можете найти чуть ниже в этой публикации.
Также обратите внимание на ссылки на наши социальные сети. Нажав на них, вы можете подписаться и быть в курсе последних новостей проекта. Если у вас возникнут вопросы, наиболее оперативно вам ответят в нашем телеграм-чате.
- Рекомендуем посмотреть выступление Александра Ракитько. Примерно часовое выступление на тему Y-ДНК тестов. Ссылка на видео.
- Был ли у человечества один общий предок? // Дробышевский. Человек разумный
- ДНК-генеалогия как путешествие к истокам
- Термины и определения
- Гаплогруппа
- Как читать Y-древо
- Методика маркерного анализа
- Подробнее о древе Yfull
- Чем отличаются тесты Y хромосомы?
- Часто задаваемые вопросы
- Список протестированных фамилий
- Как заказать ДНК тест?
Помощь в развитии проекта

Помощь в развитии проекта
Ссылка на сбор
Гаплогруппа и субклад
Сделано Y37 маркеров в Genopoisk.
Выявлена гаплогруппа G2a2-L1264, субклад G-Y93425
G2a2 G-L1264
По ссылке подробная информация по G2a2 G-L1264 в целом. История, разные линии, филогенетическое древо.

G-L1264 — это довольно специфическая ветвь Y-ДНК гаплогруппы G2a2 → G-L140 → G-U1 → G-L1266 → G-L1264.
Время до общего предка (TMRCA) ≈ 4400–3900 лет назад (примерно 2400–1900 до н.э.)
Формирование (возраст ветви) ≈ 4900–4400 лет назад (примерно 2900–2400 до н.э.)
Самый высокий процент и наибольшая концентрация — у абхазо-адыгских народов (черкесы, абхазы, абазины, убыхи в прошлом).
Среди них G-L1264 часто называют доминирующей или одной из самых характерных линий.

G2a2 в целом — типичная «неолитическая фермерская» гаплогруппа Европы (очень часто встречалась у первых земледельцев ~7000–5000 до н.э., в т.ч. связана с Ötzi the Iceman’ом на более базовом уровне G2a-L91). А вот субклад L1264 — гораздо более молодой и, судя по всему, сильно «локализовался» на Западном Кавказе в бронзовом веке → скорее всего связан с формированием или ранней историей прото-адыго-абхазского / северо-западно-кавказского этноса. Многие исследователи считают, что именно эта ветвь сильно разрослась уже среди предков современных адыгов/абхазов.
В G-L1264 есть целый ряд интересных палеообразцов. В частности L1264 найден у древних жителей Крыма (ранняя античность), царских скифов (ранняя античность), сарматов (поздняя античность), ранних славян (3-5 века), раннесредневековых жителей Балкан, у ранних мадьяров и кабаров, ряда степных популяций в Европе (булгары, авары, гунны) и других.
Nevgen
Nevgen — это онлайн-сервис, который позволяет предсказать Y-хромосомную гаплогруппу и субклад на основе STR-маркеров (коротких тандемных повторов). Он особенно полезен для тех, кто еще не сделал глубокий SNP-тест Y-хромосомы (BigY или аналоги), но уже имеет результаты по STR-маркерам (например, 12, 37, 67 или 111 маркеров).
Анализ STR-маркеров в сервисе Nevgen позволяет предсказать положение конкретной линии на дереве Y-хромосомных гаплогрупп и оценить целесообразность более глубокого SNP-тестирования
Подробнее по ссылке в шапке — Методика маркерного анализа

STR Match Finder
Видеоинструкция к STR Match Finder
STR Match Finder — это еще один полезный онлайн-инструмент для ДНК-генеалогии, который позволяет находить близких родственников по мужской линии на основе сравнения STR-маркеров Y-хромосомы. Он особенно актуален для тех, кто еще не сделал глубокий SNP-тест (BigY или аналоги), но хочет найти потенциальных родственников среди протестированных из той же популяции или гаплогруппы.
Поиск STR-совпадений в базе STR Match Finder помогает найти потенциальных родственников по мужской линии среди других протестированных из той же популяции. Мерой близости при этом служит генетическая дистанция, зависящая от числа мутационных различий
Y37

Статистика проекта
По ссылке вы можете познакомится со статистикой. Сколько всего протестировано, информация по субэтносам, гаплогруппа итд.
